k8凯发官方,k8下载游戏登录入口
手机:13988888888
电话:0898-08980898
邮箱:admin@youweb.com
地址:海南省海口市
通常使用MOSFET进行小信号放大和滤波。为了充分理解和分析MOS电路,我们需要定义MOSFET的小信号行为。
当我们说“小信号”时,我们的确切意思是?为了定义这一点,让我们参考图1,它显示了逆变器的输出传递特性。
在小信号分析中,我们在直流偏置电压上施加一个非常小的交流信号(ΔVIN)。根据偏置点处的传递特性的斜率(–AV),放大产生的交流输出电压:
请注意,由于斜率的方向不同,-AV仅为负值。我们将在本文稍后部分再回到AV。目前,重要的是偏置点(大信号行为)会影响输出信号接收到的增益量(小信号行为)。
在我们对电路的行为进行建模之前,我们需要定义我们的参数。MOSFET的主要小信号参数是:
除了fT,我们将在创建高频MOSFET模型之前不讨论它,我们将在接下来的部分中定义和推导上述每个术语。我们将首先研究I-V特性,跨导。
正如我们所知,MOSFET将输入电压转换为输出电流。小信号输出电流与小信号输入电压的比率称为跨导(gm)。我们也可以将跨导视为输出电流对栅源电压的导数。
在线性区域,晶体管的电流增益取决于输出电压。它根本不取决于输入信号。这在实践中并不理想,因为增益将在工作范围内发生巨大变化。
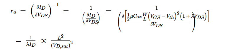
下一个感兴趣的参数是输出电阻(ro)。这被定义为晶体管的漏极-源极电压相对于漏极电流的变化。我们可以通过绘制漏极电流与VDS的关系图来找到输出电阻。所得直线的斜率等于ro的倒数。
让我们看一下图2中的图。我们首先在之前的一篇关于MOSFET结构和操作的文章中看到了这个图,它帮助我们比较了NMOS和PMOS晶体管的漏极电流。
MOSFET在线性区域时输出电阻较小,在饱和区域时输出电阻较大。在上图中,NMOS和PMOS晶体管在约1.5 V时进入饱和状态。
因为正如我们在跨导中看到的那样,饱和区提供了更好的小信号性能,我们只关心晶体管处于饱和状态时的输出电阻。我们可以计算为:
当考虑到饱和时I-V曲线的斜率由通道长度调制引起时,ro和λ之间的关系是有意义的。等式4还告诉我们:
现在我们知道晶体管的输出电阻和电流增益,我们可以计算它的最大电压增益。这也被称为晶体管的固有增益(AV)。为了更好地理解固有增益的概念,让我们来看看图3中的共源放大器配置
由于理想电流源具有无穷大的电阻,因此该电路的小信号输出传递函数可以计算为:
从方程式3和4中,我们可以看到gm和ro与漏极电流呈反比。利用这一知识,我们可以找到一个漏极电流的最佳值,使单个晶体管产生最大的增益——换句话说,它的固有增益。对于现代工艺,固有增益通常在5到10之间。
我们需要推导的最后一个小信号参数是体效应跨导(gmb),它描述了体效应如何影响漏极电流。我们可以计算如下:
现在我们已经定义了我们的参数,我们可以建立一个电路模型,表示晶体管的小信号操作。图4描绘了MOSFET在低频的小信号行为。
从图6中我们可以看到,图3中的MOSFET的固有增益具有单极低通传递函数。我们现在可以计算晶体管的带宽,在这种情况下,带宽将是电压增益等于1(0 dB)的频率。这被称为单位增益频率(fT)。
为了找到fT,我们将输出端短接到地,并计算图6的跨导。这样做可以得出以下方程式:
从方程式4和7中,我们看到,为了增加增益,我们需要增加晶体管的长度。然而,我们也看到,这会导致带宽降低。反之亦然:减少晶体管的长度会导致带宽增加。
我们现在知道MOSFET在小信号交流输入下的行为,如何模拟这种行为,以及它与之前文章中描述的大信号行为的关系。有了这些工具,我们就可以用MOSFET构建和分析模拟电路了!
